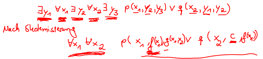
KI_Zusammenfassung/images/skolemisierung_beispiel.png