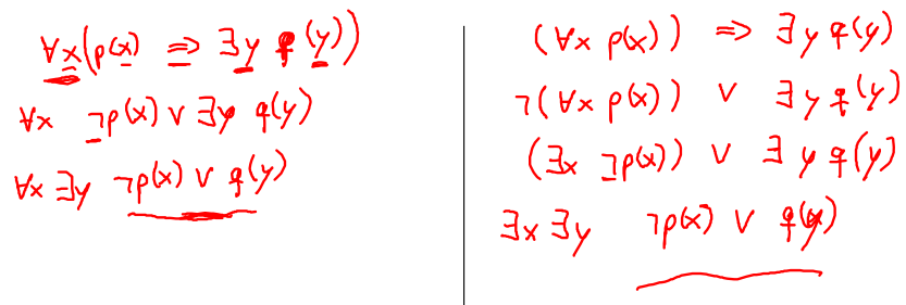
KI_Zusammenfassung/images/pränexform_beispiele.png